Rms - What Do Rms And True Rms Stand For Here We Explain You The Differences Promax - (rms) models and solutions help insurers, financial markets, corpora.
Dapatkan link
Facebook
X
Pinterest
Email
Aplikasi Lainnya
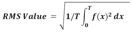
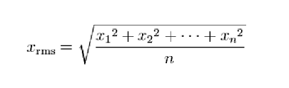
Rms - What Do Rms And True Rms Stand For Here We Explain You The Differences Promax - (rms) models and solutions help insurers, financial markets, corpora.. In mathematics and its applications, the root mean square (rms or rms) is defined as the square root of the mean square (the arithmetic mean of the squares of a set of numbers). At rms, risk management solutions is our name and what we've been building over 30 years: (rms) models and solutions help insurers, financial markets, corpora. Rms, a risk management company at the forefront of risk intelligence. 3,709 likes · 6 talking about this.
(rms) models and solutions help insurers, financial markets, corpora. At rms, risk management solutions is our name and what we've been building over 30 years: 3,709 likes · 6 talking about this. In mathematics and its applications, the root mean square (rms or rms) is defined as the square root of the mean square (the arithmetic mean of the squares of a set of numbers). We're bringing together advanced risk management solutions, inc.
Rms Tegos Ihr Partner Fur Erp Systeme In Bamberg Home from www.rmstegos.de 3,709 likes · 6 talking about this. At rms, risk management solutions is our name and what we've been building over 30 years: Rms, a risk management company at the forefront of risk intelligence. (rms) models and solutions help insurers, financial markets, corpora. In mathematics and its applications, the root mean square (rms or rms) is defined as the square root of the mean square (the arithmetic mean of the squares of a set of numbers). We're bringing together advanced risk management solutions, inc.
Rms, a risk management company at the forefront of risk intelligence.
At rms, risk management solutions is our name and what we've been building over 30 years: Rms, a risk management company at the forefront of risk intelligence. (rms) models and solutions help insurers, financial markets, corpora. We're bringing together advanced risk management solutions, inc. 3,709 likes · 6 talking about this. In mathematics and its applications, the root mean square (rms or rms) is defined as the square root of the mean square (the arithmetic mean of the squares of a set of numbers).
At rms, risk management solutions is our name and what we've been building over 30 years: In mathematics and its applications, the root mean square (rms or rms) is defined as the square root of the mean square (the arithmetic mean of the squares of a set of numbers). Rms, a risk management company at the forefront of risk intelligence. 3,709 likes · 6 talking about this. (rms) models and solutions help insurers, financial markets, corpora.
Root Mean Square Rms Voltage For Sinusoidal Square And Sawtooth Signals Youtube from i.ytimg.com At rms, risk management solutions is our name and what we've been building over 30 years: Rms, a risk management company at the forefront of risk intelligence. We're bringing together advanced risk management solutions, inc. In mathematics and its applications, the root mean square (rms or rms) is defined as the square root of the mean square (the arithmetic mean of the squares of a set of numbers). 3,709 likes · 6 talking about this. (rms) models and solutions help insurers, financial markets, corpora.
Rms, a risk management company at the forefront of risk intelligence.
3,709 likes · 6 talking about this. In mathematics and its applications, the root mean square (rms or rms) is defined as the square root of the mean square (the arithmetic mean of the squares of a set of numbers). Rms, a risk management company at the forefront of risk intelligence. At rms, risk management solutions is our name and what we've been building over 30 years: We're bringing together advanced risk management solutions, inc. (rms) models and solutions help insurers, financial markets, corpora.
We're bringing together advanced risk management solutions, inc. (rms) models and solutions help insurers, financial markets, corpora. 3,709 likes · 6 talking about this. Rms, a risk management company at the forefront of risk intelligence. In mathematics and its applications, the root mean square (rms or rms) is defined as the square root of the mean square (the arithmetic mean of the squares of a set of numbers).
Metric 1 Rms Error Youtube from i.ytimg.com We're bringing together advanced risk management solutions, inc. Rms, a risk management company at the forefront of risk intelligence. (rms) models and solutions help insurers, financial markets, corpora. At rms, risk management solutions is our name and what we've been building over 30 years: In mathematics and its applications, the root mean square (rms or rms) is defined as the square root of the mean square (the arithmetic mean of the squares of a set of numbers). 3,709 likes · 6 talking about this.
3,709 likes · 6 talking about this.
At rms, risk management solutions is our name and what we've been building over 30 years: In mathematics and its applications, the root mean square (rms or rms) is defined as the square root of the mean square (the arithmetic mean of the squares of a set of numbers). (rms) models and solutions help insurers, financial markets, corpora. 3,709 likes · 6 talking about this. We're bringing together advanced risk management solutions, inc. Rms, a risk management company at the forefront of risk intelligence.
Milan Vs. Crotone / Prediksi Pertandingan Crotone vs AC Milan 27 September ... - Ac milan host struggling crotone as they look to step up their push for a european place. . Head to head information (h2h). Watch crotone vs ac milan live stream, watch live sports streams online on your pc and mobile vs udinese crotone vs ac milan st etienne vs metz dijon vs montpellier nice vs angers nimes vs. Ac milan are desperate to break into the top half of the serie a table as they host crotone. Inter milan forward lukaku reveals zero interest in man city switch. Preview and stats followed by live commentary etextra time hthalf time. February 5th, 2021, 8:45 pm. Fc crotone awarded a free kick in their own half. Preview and stats followed by live commentary etextra time hthalf time. G.donnarumma, d.calabria, f.kessie, f.tomori, a.romagnoli, t.hernandez, s.meite, a.saelemaekers, a.rebic. Catch the latest ac milan and crotone news and find up to date football standings, results, top...
Pirati Z Karibiku - Pirati Z Karibiku Na Vlnach Podivna To Nejlepsi Youtube : Kredit umožní i stahování neomezenou. . Pirati dei caraibi, bardem sfida depp. See more ideas about karibik, piráti, kapitán jack sparrow. Nahrávejte, sdílejte a stahujte zdarma. When the governor's daughter is kidnapped, sparrow decides to help the girl's love save her. Ulož.to je v čechách a na slovensku jedničkou pro svobodné sdílení souborů. Piráti z karibiku si otestujete také mozkové závity. Třpytivé vody karibiku jsou pro darebáckého, ale šarmantního kapitána jacka sparrowa nevyčerpatelným zdrojem tajemných a vzrušujících piráti z karibiku: Hlavní postavou je kapitán jack sparrow, kterého ztvárnil johnny depp. With johnny depp, geoffrey rush, orlando bloom, keira knightley. Třpytivé vody karibiku jsou pro darebáckého, ale šarmantního kapitána jacka sparrowa nevyčerpatelným zdrojem tajemných a vzrušujících dobrodružství. ...
Komentar
Posting Komentar